HOW CLEAN IS IT?
How Clean Do Reusable Medical Devices Need To Be?

The terminology for the reprocessing of Reusable Medical Devices can be a bit confusing. Which items need what level of processing? Cleaning, disinfection, sterilising, A0 value, Low Level Disinfection, High level Disinfection, Log reductions, we’ll walk you through it, starting with Spaulding’s classification.
SPAULDING CLASSIFICATION
Spaulding classificationis an approach to disinfection and sterilisation of reusable medical devices (RMD) based on the potential risk of Disease Transmission to the patient.
It is not necessary to sterilise all reusable medical devices, the Spaulding Classification provides a system to determine the level of processing required.
LOG REDUCTION
When discussing the efficacy of our infection control products, our test results are almost always shown as Log Reductions. But what exactly are these and what do the numbers mean? To evaluate the bio-burden reduction, we start with a known number of spores and expose them to a process and then evaluate if we have successfully destroyed all or some of the spores.
Microbiologists and others who work with microorganisms use a log scale to better describe changes (mostly reductions) in numbers of organisms.
“Log” is short for logarithm, a mathematical term for a power to which a number can be raised. For example, using 10 as the given number, a Log 3 increase can be shown as 103 or 10 x 10 x 10 = 1 000.
- Log reduction: Number of germs is 10 times smaller
- Log reduction: Number of germs is 100 times smaller
- Log reduction: Number of germs is 1000 times smaller
- Log reduction: Number of germs is 10,000 times smaller
- Log reduction: Number of germs is 100,000 times smaller
- Log reduction: Number of germs is 1,000,000 times smaller
- Log reduction: Number of germs is 10,000,000 times smaller
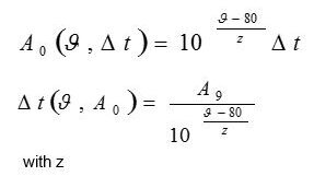
A0 VALUE
In Washer Disinfectors the disinfection temperature may be measured by either Dwell time or using the A0 Concept (EN ISO 15883-1). The A0 Concept is basically an elaborate equation to calculate thermal validation. The concept is that Equal microbe killing may be achieved by various combinations of time and temp.
Here is the formula for all the brains out there:

(∆t = selected time period in seconds, T = temperature of the load in °C (lower limit-value = 65 °C), z = 10 (°C)
EN ISO 15883 Part 1:2006 (E), p. 33
6.1.3.4.5“Disinfection performances specified in subsequent parts of ISO 15883 are Minimum requirements. Regulatory authorities can specify more stringent requirements within the territories for which they are responsible. “

Using the above table, if you hold a temperature at 90°C for 60 seconds you are achieving an A0 value of A0600. A0600 can also be achieved for example, by 85°C for a dwell time of 189.7 seconds.
THE MEIKO WORLD OF PREFECT HYGIENE
When it comes to washer-disinfectors, MEIKO offers all-round solutions that tick all the boxes. Human excreta such as urine, faeces, sputum and vomit contain copious quantities of infectious material – yet many people fail to take into account the risks involved in disposing of them. Fortunately, MEIKO is on hand to get care utensils reliably and hygienically clean. The company's cleaning and disinfection appliances meet the international standards.
WARD WASHING & DISINFECTION
The cleaning and disinfection processes devised by MEIKO make resounding sense from every perspective: perfect cleanliness, a sparkling shine, and easy on the wallet. When it comes to professional and reliable infection control solutions in the hospital and care home sector, MEIKO is an excellent choice. From standalone appliances and combined care units to fully-fitted utility rooms, MEIKO offers top-quality cleaning and disinfection solutions custom-made to your specifications.
MEIKO Business Tips
At MEIKO all of our staff across Australia stretch their professional background knowledge across the segments they service. We take pride in helping small to big sized businesses and companies thrive. We acknowledge that architects, builders and consultants all have the same desire to deliver a great solution for their customers. It doesn’t matter how much knowledge you think you have, if you have been working in hospitality for years or researching a new aged care project or even entering a new start up, we believe these articles will help to gain additional insight to your industry. And from time to time we will enlist the help of our professional partners to produce articles which highlight their own specific expertise and guidance. We want to equip you with sound knowledge online but offline we are always happy to offer real time friendly advice over the phone. To start a conversation call us on 1300 562 500.





